Każdy przedsiębiorca lub osoba prywatna kiedyś staje przed koniecznością sporządzenia profesjonalnej umowy. Często jednak brak wiedzy prawnej powoduje, że dokument zawiera błędy, które mogą skutkować poważnymi konsekwencjami finansowymi lub prawnymi. Napisanie dobrej umowy to nie tylko kwestia wypełnienia formularza, ale przede wszystkim precyzyjnego zabezpieczenia interesów obu stron.
W tym artykule pokażemy, jak krok po kroku stworzyć umowę, która będzie nie tylko prawnie poprawna, ale również jasna i zrozumiała. Nauczysz się identyfikować kluczowe elementy dokumentu, unikać najczęstszych błędów oraz poznasz praktyczne wskazówki, dzięki którym Twoja umowa będzie chronić Twoje interesy w sposób profesjonalny. Kluczowe wnioski:- Profesjonalna umowa musi zawierać precyzyjnie określone warunki współpracy
- Każda umowa powinna być skonstruowana zgodnie z obowiązującymi przepisami prawnymi
- Najczęstsze błędy w umowach można łatwo wyeliminować, znając odpowiednie zasady
- Warto korzystać z pomocy prawnej lub wzorów sprawdzonych dokumentów
- Dokładne sprawdzenie umowy przed podpisaniem jest kluczowe dla bezpieczeństwa prawnego
- Język umowy powinien być jasny, precyzyjny i wolny od wieloznaczności
Podstawowe elementy profesjonalnej umowy prawnej
Każda profesjonalna umowa to więcej niż zwykły dokument. To kompleksowe narzędzie prawne, które zabezpiecza interesy wszystkich zaangażowanych stron. Jak napisać umowę, która będzie skuteczna i precyzyjna? Kluczem jest zrozumienie jej fundamentalnej struktury.
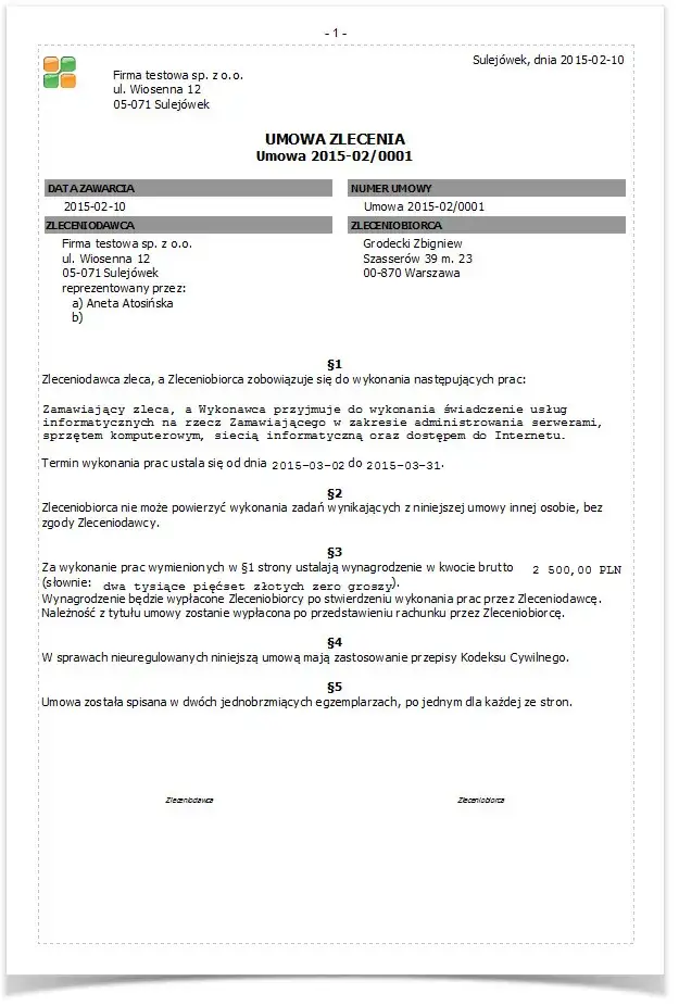
Struktura wzoru umowy składa się z kilku kluczowych komponentów, które decydują o jej prawnej wadze. Profesjonalny dokument musi jasno określać prawa i obowiązki stron, zawierać precyzyjne warunki współpracy oraz mechanizmy rozwiązywania potencjalnych sporów. Bez tych elementów umowa zlecenie czy umowa najmu może stać się źródłem poważnych nieporozumień.
Ryzyko nieprawidłowo sporządzonej umowy jest ogromne. Błędy w elementach umowy mogą prowadzić do konfliktów prawnych, strat finansowych lub nawet unieważnienia całego dokumentu. Dlatego kluczowe jest dokładne przemyślenie każdego zapisu i jego potencjalnych konsekwencji.
Rodzaje umów i ich specyfika prawna
W polskim systemie prawnym funkcjonuje kilka podstawowych typów umów, które różnią się szczegółowymi wymaganiami. Pisanie umów wymaga znajomości specyfiki konkretnego rodzaju dokumentu.
| Rodzaj umowy | Charakterystyka |
| Umowa zlecenie | Określa warunki wykonania konkretnej usługi |
| Umowa najmu | Reguluje zasady wynajmu nieruchomości |
| Umowa sprzedaży | Definiuje warunki transakcji kupna-sprzedaży |
Każdy typ umowy posiada unikalne nuanse prawne, które trzeba uwzględnić podczas jej sporządzania. Nieznajomość tych szczegółów może prowadzić do poważnych komplikacji prawnych.
Czytaj więcej: Adobe Illustrator kurs - projektowanie grafiki
Kluczowe sekcje, które musisz uwzględnić w dokumencie
Profesjonalny wzór umowy wymaga precyzyjnego określenia kluczowych sekcji. Każda porządna umowa powinna zawierać 5 podstawowych elementów, które zabezpieczą interesy obu stron.
- Dane stron umowy
- Przedmiot umowy
- Prawa i obowiązki
- Warunki finansowe
- Postanowienia końcowe
Pierwsza sekcja, dotycząca danych stron, jest fundamentem każdego dokumentu. Jak napisać umowę rozpoczynającą się od precyzyjnego wskazania wszystkich zaangażowanych podmiotów? Kluczowe jest podanie pełnych danych identyfikacyjnych, takich jak nazwa firmy, adres siedziby oraz numery NIP i REGON.
Sekcja przedmiotu umowy zlecenie lub innego rodzaju dokumentu powinna dokładnie opisywać zakres świadczonych usług. Im bardziej szczegółowy opis, tym mniejsze ryzyko nieporozumień między stronami.
Błędy prawne, które mogą zniszczyć twoją umowę
Pisanie umów to proces wymagający absolutnej staranności. Nawet drobne niedopatrzenia mogą prowadzić do poważnych konsekwencji prawnych i finansowych.
Najczęstsze błędy w elementach umowy obejmują nieprecyzyjne zapisy, brak klauzul zabezpieczających oraz pomijanie istotnych warunków współpracy. Profesjonalista zawsze weryfikuje każdy szczegół dokumentu przed jego podpisaniem.
Profesjonalny język i formatowanie umowy
Język prawny wymaga precyzji i jednoznaczności. Jak napisać umowę, która będzie jasna i zrozumiała? Kluczowe jest używanie prostych, jednoznacznych sformułowań.
- Unikaj wieloznacznych określeń
- Stosuj krótkie, zwięzłe zdania
- Zachowaj logiczną strukturę dokumentu
- Używaj oficjalnego, profesjonalnego stylu
Formatowanie dokumentu ma kluczowe znaczenie. Profesjonalna umowa powinna być przejrzysta, z zachowaniem odpowiednich marginesów, czcionki i numeracji poszczególnych sekcji.
Profesjonalna umowa: klucz do bezpiecznej współpracy
Stworzenie profesjonalnej umowy to nie tylko formalność, ale strategiczny proces zabezpieczający interesy wszystkich stron. Jak napisać umowę, która chroni przed ryzykiem i nieporozumieniami? Kluczem jest dokładne zrozumienie jej struktury, prawnych niuansów oraz precyzyjne formułowanie zapisów.
Każdy dokument, czy to umowa zlecenie, umowa najmu, czy inna forma współpracy, wymaga szczególnej staranności. Elementy umowy takie jak dokładne dane stron, jasno określony przedmiot współpracy oraz jednoznaczne warunki finansowe decydują o jej skuteczności. Pisanie umów to sztuka, która wymaga nie tylko wiedzy prawnej, ale również umiejętności komunikacyjnych i strategicznego myślenia.
Pamiętaj, że wzór umowy to więcej niż szablon - to narzędzie, które może zabezpieczyć Twoje interesy lub stać się źródłem potencjalnych konfliktów. Inwestycja czasu i uwagi w precyzyjne przygotowanie dokumentu zwróci się wielokrotnie, chroniąc przed nieoczekiwanymi konsekwencjami prawnymi i finansowymi.




